Websites and locations
  • Product

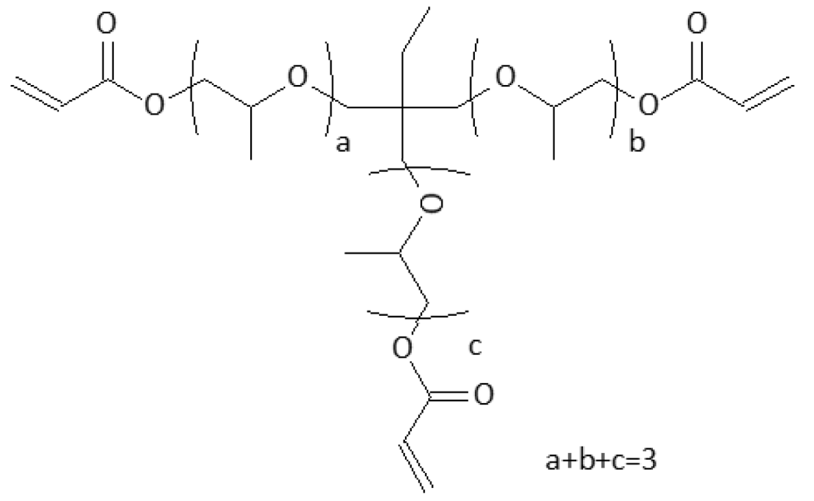
SR492 TFN NS

Propoxylated (3) Trimethylolpropane Triacrylate
Product overview
SR492TFN, 3 mole propoxylated trimethylolpropane triacrylate, is a low skin irritation, fast curing monomer for use in free radical polymerization.
Geographic availability
  • Asia Pacific
  • Oceania
Top