Websites and locations
  • Product

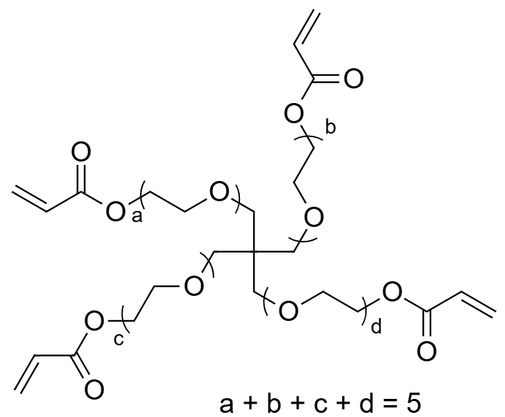
SR594 EU

Ethoxylated 5 Pentaerythritol Tetraacrylate
#CAS Proprietary
Product overview
SR594 is a tetrafunctional methacrylic monomer for use in UV/LED/EB and peroxide curing applications.
Geographic availability
    Worldwide
Top