Websites and locations
  • Product

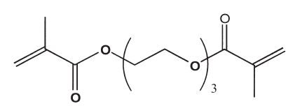
SR205 NS

Triethylene Glycol Dimethacrylate
#CAS 109-16-0
Product overview
SR205 NS, triethylene glycol dimethacrylate, is a high boiling monomer with low vapor pressure which is used in free radical polymerization.
Geographic availability
  • Asia Pacific
  • Oceania
Top